Fermi: "Where is everybody ?"
Gross: "They killed themselves"
Interesting, maybe morbid? read:
www.livescience.com/space/cosmology/the-chances-of-you-living-50-years-are-very-small-theoretical-physicist-explains-why-humanity-likely-wont-survive-to-see-all-the-forces-unified
Scroll down to paragraph:
"TG: Do you feel that in 50 years, we'll be closer to having some kind of unified theory that incorporates all the forces?"
Would a nuclear war between the super powers wipe out humanity. I assume remote places won't get bombed. It would just be like a Mad Max post apocalyptic world.
No idea. We were all taught about nuclear holocaust in junior high school. My year 9 SACE teacher did a good job of terrifying me. I hope David Gross is wrong.
PS/ It seems to be that Gross is taking an open loop statistical approach. But, humans are closed loop. As conflict gets more heated, this could cause those in power to back down, knowing what they will loose. An example of that is Stanislav Petro.
I am constantly in awe of the ability of these highly intelligent people to make the discoveries they have, and are still making.
But i find it somewhat perplexing that they think they can put numbers on the likelhood/timeline of the human race destroying itself like its a measurable maths equation.
mmm statistics and probability, and also the constant laws of the universe - all rolled into one.
Not sure I really understand that if he estimates the probably is 2% in any one year then it is inevitable in 50 years. Presumably it doesn't compound, so if nuclear war annihilation didn't happen this year that doesn't mean there is a 4% chance next year, 6% the next etc. Every year the chance remains at 2%. Although I guess it all depends on how you chose to look at statistics. Much like, I wonder, the laws of the universe depend on how you look at them.
Presumably evolution suggests a 99.9% chance humans will become extinct, but I am not sure that chance is 2% in any one year, or even 2% in any generation, let alone 2% from any one mode of extinction possibility.
And then even in that single mode of nuclear weapons maybe a 2% chance in any year for a nuclear bomb detonation in anger, but not 2% for 2 sides annihilating each other and everyone else. That would mean the chance of a unilateral detonation must be way, way higher than 2%, given the number of possibilities following the first boooooom going off.
Would a nuclear war between the super powers wipe out humanity. I assume remote places won't get bombed. It would just be like a Mad Max post apocalyptic world.
Israel and US are most likely to use nukes next.
If Israel chooses to push the button on Iran it will be the end of the Jews and our laws on antisemitism will be irrelevant.
Interesting. Hypothetically a question might be, are we increasing or decreasing our chances of long-term survival with our current decisions and actions?
Would a nuclear war between the super powers wipe out humanity. I assume remote places won't get bombed. It would just be like a Mad Max post apocalyptic world.
If the nuclear war was drawn out,say more than a couple of sizable war heads, earthly life as we know it would not fare well. The building nuclear winter would seriously screw us over, do a search on 'the effects of a nuclear war' for some very sobbering details. Certainly the doomsday preppers and Armageddon cults would get to see their hell on Earth.
Here's an interesting discussion on the topic.
Not sure I really understand that if he estimates the probably is 2% in any one year then it is inevitable in 50 years. Presumably it doesn't compound, so if nuclear war annihilation didn't happen this year that doesn't mean there is a 4% chance next year, 6% the next etc. Every year the chance remains at 2%. Although I guess it all depends on how you chose to look at statistics. Much like, I wonder, the laws of the universe depend on how you look at them.
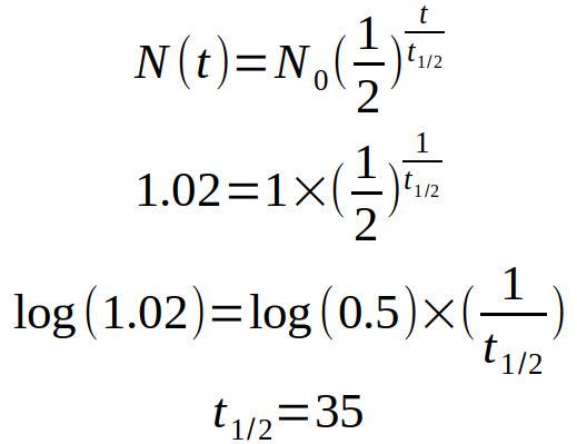
It appears he used the exponential decay equation to derive 35 years. This is implying that he is assuming independent samples, but I don't know how to interpret it.
The exponential decay formula (wiki "Half Life"). Plug in 1.02 (2% of 1 and add it to make 1.02, 1 is the starting reference, and 1 year is the time. Then solve the half life variable t1/2, which I interpret as the "average time" mentioned in the article. The answer is in years. Pretty much spot on to what the prediction is in the article.
But I still think human behaviour has strong negative feedback. It's like you go surfing, and spot has 7ft whites in it. But, since you don't watch the news or have a smart phone, you go surfing every day. You have a 2% chance of getting chomped. But, then you see one, get scared, and maybe you don't surf there anymore ?.. so then that probability becomes 0%.
PS/ t1/2 is actually -35. Sorry about that. Calculated on paper, then typed up in LibreOffice Math. Forgot the sign.
Mmm, but that is looking at the question from the perspective of an applied nuclear physicist.
I'd say the question is less based on the laws of thermodynamics and inevitable increase in entrophy and more based on the illogical trait of human choices and gambling.
I'd suggest the monte-carlo method or similar would be a more appropriate analysis method.
So - 98 white chips in a bag, 2 black chips, 2% chance of pulling black. Each pick = 1 year and chips go back in each time.
First run - 29 years
Second run - 27 years
Third run - 58 years
Fourth run - 38 years
mmmm - yep, we are all doomed. Hope your theory of negative feed back holds.
Mmm, but that is looking at the question from the perspective of an applied nuclear physicist.
100% agree. I'm just using (and not understanding) what the old man quoted.
First run - 29 years
Second run - 27 years
Third run - 58 years
Fourth run - 38 years
mmmm - yep, we are all doomed. Hope your theory of negative feed back holds.
If you're running a Monty Carlo Sim, then what statistical distribution are you assuming ?